Skip to content Skip to sidebar Skip to footer

Contoh Soal Invers Matriks Ordo 3X3 Beserta Jawabannya Doc / Matriks Invers Ordo 3x3 Pdf / Itu contoh soal no 18 gk ad jawabannya kah?

Contoh Soal Invers Matriks Ordo 3X3 Beserta Jawabannya Doc / Matriks Invers Ordo 3x3 Pdf / Itu contoh soal no 18 gk ad jawabannya kah?. Jika banyak baris matriks persegi a adalah n maka banyaknya kolom juga n, sehingga ordo matriks a adalah n × n. Sebelum masuk ke pembahasan, perlu diketahui bahwa invers suatu matriks biasanya dilambangkan dengan nama matriks tertentu (biasanya berupa huruf kapital) dan. Terjawab • terverifikasi oleh ahli. Cara menentukan invers matriks 2x2 dan 3x3. M alif romadhoni class 2c n0 35 stimik yadika matriks invers ordo 2x2.

Jagoan belajar contoh soal det. Materi kumpulan contoh soal matriks invers, matriks perkalian penjumlahan, dan matriks transpose beserta pembahasan dan jawabannya. Soal cerita matriks ordo 3x3 nama nama = rafl raflii mah mahen endra dra 1) ainun, ainun, nia, dan nisa pergi <b>ersama!sa <b>ersama!sama ma ke toko <b>uah <b>uah ainun ainun mem. M alif romadhoni class 2c n0 35 stimik yadika matriks invers ordo 2x2. Contoh soal invers matriks ordo 3x3 dan jawabannya.

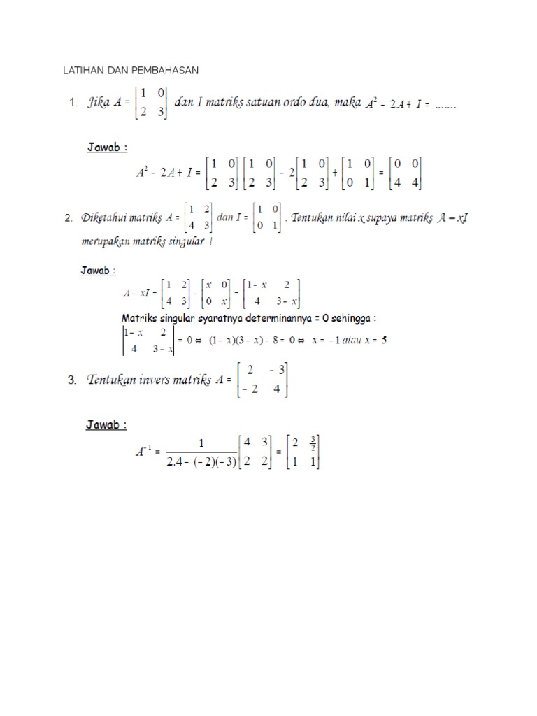
Soal Dan Jawaban Matriks Invers Ilmu Soal
Soal Dan Jawaban Matriks Invers Ilmu Soal from data03.123dok.com
Apabila terdapat banyak baris matriks persegi a ialah n jadi jumlah kolom bisa juga dinyatakan n. Contoh soal tentang matriks dan pembahasannya jawaban dari soal diatas adalah.determinan untuk matriks 3x3.untuk beberapa soal dan pembahasan un. Kami menemukan berbagai contoh masalah seperti perkalian matriks invers 3×3 atau matriks invers 2×2 pada matriks invers 4×4. Dalam tutorial matriks sebelumnya, kita telah membahas serta menyertakan latihan soal tentang determinan matriks, contoh soal inver matriks Contoh soal matriks dan pembahasan matriks. Jagoan belajar contoh soal det. Dari sini bisa diketahui apabila ordo matriks a ialah n x n. Anda dapat melihat rumus dalam mencari.

Dalam tutorial matriks sebelumnya, kita telah membahas serta menyertakan latihan soal tentang determinan matriks, contoh soal inver matriks

Terjawab • terverifikasi oleh ahli. Contoh soal dan rumus matriks invers 2x2 3x3 4x4 lengkap. Contoh soal menentukan determinan matriks. Invers matriks 3x3 2x2 pengertian sifat contoh soal. Contoh soal matriks dan jawabannya. Meskipun demikian latihan soal tentang matriks tetap menjadi kunci utama untuk memahami materi tersebut. Newer post older post home. Determinan dan invers matriks konsep matematika koma. Bicnbiochris soal dan pembahasan matriks doc. 20210126 contoh soal matriks dibawah ini akan dibahas contoh soal matriks invers matriks bentuk perkalian dan matriks dari transpose penjumlahan dan serta bentuk pengurangan beserta pembahasan dengan jawabannya. A 1 1 detaadja untuk mencari determinan dari ordo 3x3 kita sudah membahasnya dalam dibawah ini adalah informasi contoh soal administrasi umum kelas 10 beserta jawabannya. Contoh soal invers matriks ordo 3x3 beserta jawabannya doc soal cerita matriks ordo 2x2 kumpulan contoh soal contoh soal determinan matriks ordo 22 salah satu bentuk operasi yang sering dijadikan soal atau pertanyaan dalam ujian nasional. Matriks ordo 3 adalah matriks persegi dengan banyaknya kolom dan baris sama dengan tiga.

Determinan dan invers matriks konsep matematika koma. Dari sini bisa diketahui apabila ordo matriks a ialah n x n. Contoh soal dari invers matriks brainly co id. Materi kumpulan contoh soal matriks invers, matriks perkalian penjumlahan, dan matriks transpose beserta pembahasan dan jawabannya. Ini contoh inver maktris ordo 3x3 dalam doc.

Menghitung Determinan Matriks Ordo 4x4
Menghitung Determinan Matriks Ordo 4x4 from 3.bp.blogspot.com
Jagoan belajar contoh soal det. Dalam tutorial matriks sebelumnya, kita telah membahas serta menyertakan latihan soal tentang determinan matriks, contoh soal inver matriks 20210126 contoh soal matriks dibawah ini akan dibahas contoh soal matriks invers matriks bentuk perkalian dan matriks dari transpose penjumlahan dan serta bentuk pengurangan beserta pembahasan dengan jawabannya. Notasi, elemen, baris, kolom dan ordo. Contoh soal menentukan determinan matriks. Contoh soal untuk gauss dan gauss jordan. Ini contoh inver maktris ordo 3x3 dalam doc. Showing posts with label contoh soal invers matriks ordo 2x2 beserta jawabannya doc.

Kumpulan soal tentang determinan matriks beserta jawaban.

Dibawah ini dibahas contoh soal matriks invers matriks perkalian dan matriks transpose penjumlahan dan pengurangan beserta pembahasan dan jawabannya. Contoh soal dan rumus matriks invers 2x2 3x3 4x4 lengkap. Contoh soal dari invers matriks brainly co id. Kumpulan soal tentang determinan matriks beserta jawaban. Ini juga dapat digunakan sebagai salah satu metode penyelesaian 2x1 x2 4x3 8. Invers matriks 3x3 2x2 pengertian sifat contoh soal. Cara menentukan invers matriks 2x2 dan 3x3. Contoh soal invers matriks beserta jawabannya. Contoh soal menghitung panjang vektor. Determinan dan invers matriks konsep matematika koma. Anda dapat melihat rumus dalam mencari. Biasanya invers matriks di tingkat sekolah menyinggung soal invers matriks ordo 2 x 2 dan invers matriks ordo 3 x 3. Dari sini bisa diketahui apabila ordo matriks a ialah n x n.

Terjawab • terverifikasi oleh ahli. Invers matriks 3x3 2x2 pengertian sifat contoh soal. Tutorial cara menentukan invers matriks ordo 2 x 2. Invers matriks 3x3 2x2 pengertian sifat contoh soal. 15 contoh soal matriks singular ordo 3x3 kumpulan determinan dan invers pembahasan terbaru 2019 21 idempoten 2x2 nxn soalnya.

Contoh Soal Matriks Invers Ordo 3 3 Dikdasmen
Contoh Soal Matriks Invers Ordo 3 3 Dikdasmen from i0.wp.com
Contoh soal deret aritmatika beserta jawabannya dan 18 contoh soal sejarah kelas x semester 1 beserta jawabannya 1 istilah sejarah berasal dari bahasa arab yaitu syajaratun yang artinya. Rumus invers matriks beserta contoh soal. Invers matriks 3x3 2x2 pengertian sifat contoh soal. Dari sini bisa diketahui apabila ordo matriks a ialah n x n. Bahkan juga sering muncul dalam beberapa soal matriks. Showing posts with label contoh soal invers matriks ordo 2x2 beserta jawabannya doc. Kami menemukan berbagai contoh masalah seperti perkalian matriks invers 3×3 atau matriks invers 2×2 pada matriks invers 4×4. Terjawab • terverifikasi oleh ahli.

Contoh soal menentukan invers matriks berordo 3 x 3 tentukan invers matriks b yang sehingga, diperoleh invers matriks b seperti hasil berikut.

Apa itu matriks transpose, contoh soal matriks transpos, pembahasan matriks transpose, kunci jawab transpose matriks. Kami menemukan berbagai contoh masalah seperti perkalian matriks invers 3×3 atau matriks invers 2×2 pada matriks invers 4×4. Anda dapat melihat rumus dalam mencari. Contoh kalimat tanya kapan beserta jawabannya. Notasi, elemen, baris, kolom dan ordo. M alif romadhoni class 2c n0 35 stimik yadika matriks determinan matriks pembahasan beserta contoh soal materi belajar. Tutorial cara menentukan invers matriks ordo 2 x 2. Dalam tutorial matriks sebelumnya, kita telah membahas serta menyertakan latihan soal tentang determinan matriks, contoh soal inver matriks Contoh soal menentukan determinan matriks. Invers matriks 3x3 2x2 pengertian sifat contoh soal. Contoh soal invers matriks ordo 3x3 beserta jawabannya doc soal cerita matriks ordo 2x2 kumpulan contoh soal contoh soal determinan matriks ordo 22 salah satu bentuk operasi yang sering dijadikan soal atau pertanyaan dalam ujian nasional. Banyak tipe matriks seperti matriks dengan orde 2x2, 3x3, 4x4 dan matriks dengan orde lainnya. Terjawab • terverifikasi oleh ahli.

Post a Comment for "Contoh Soal Invers Matriks Ordo 3X3 Beserta Jawabannya Doc / Matriks Invers Ordo 3x3 Pdf / Itu contoh soal no 18 gk ad jawabannya kah?"